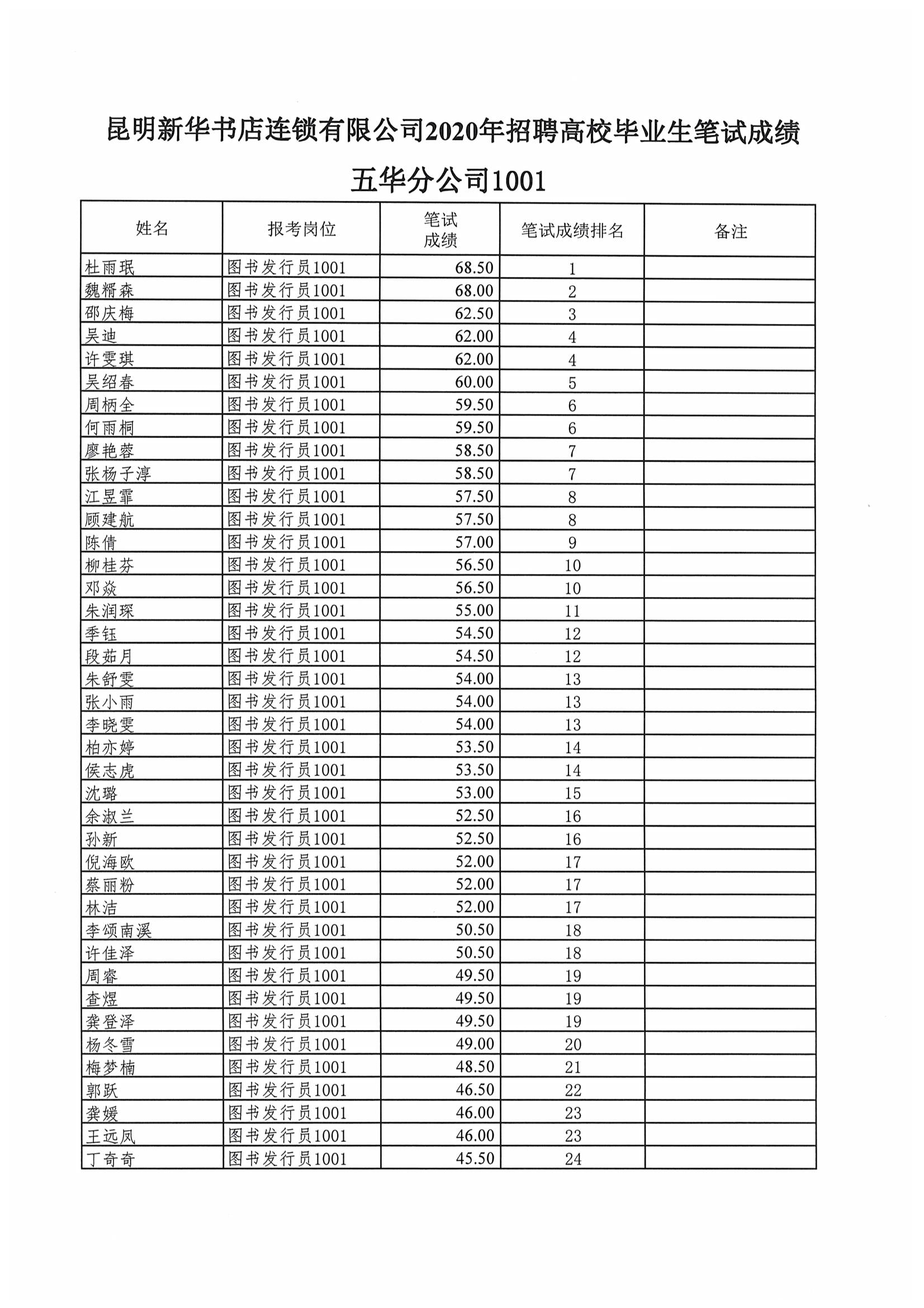
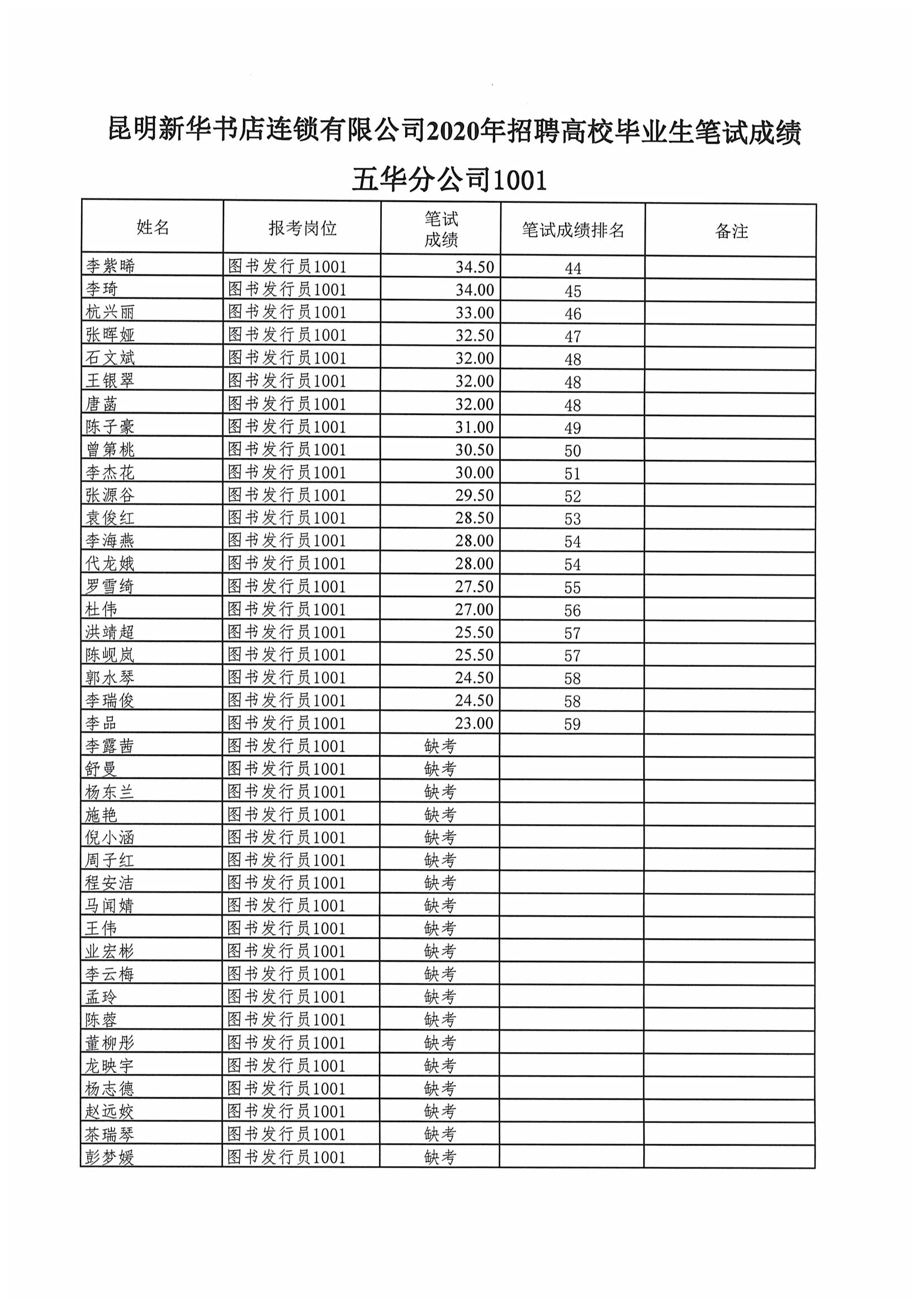
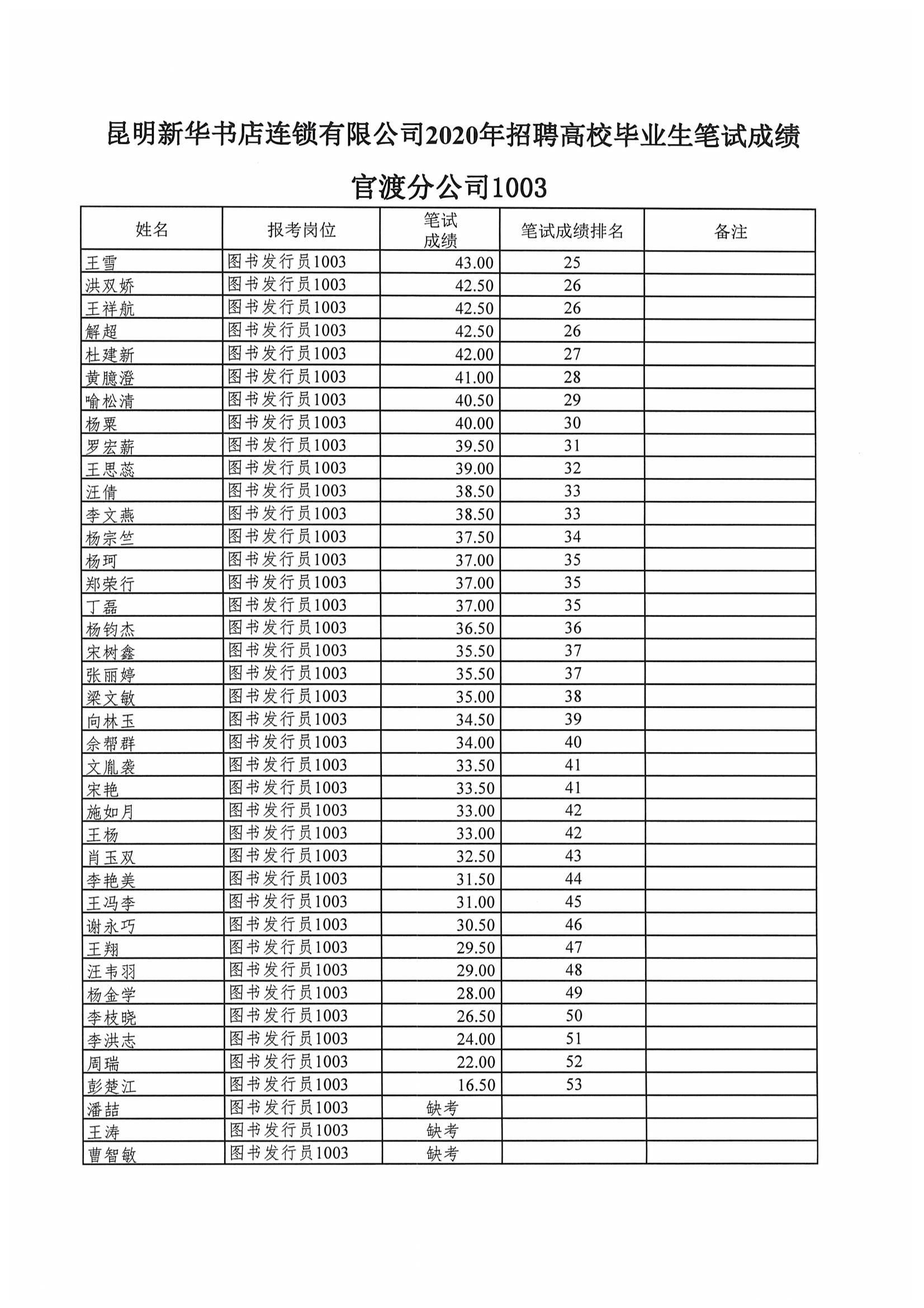
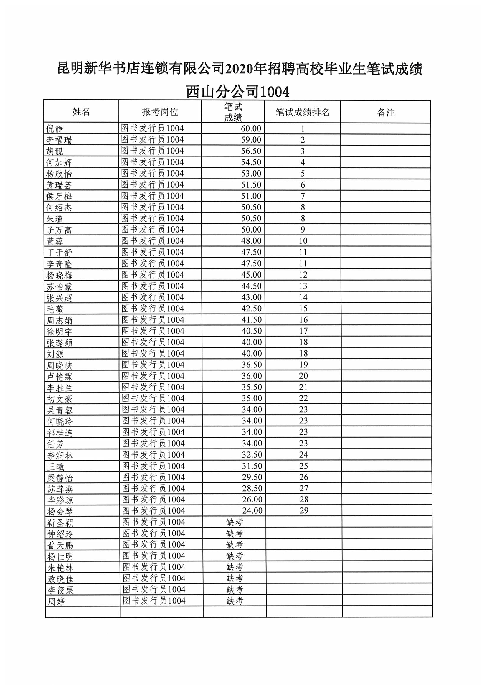
昆明新华书店连锁有限公司2020年招聘高校毕业生笔试成绩公示













来源:http://www.kmxhsd.com/publicity/show-507.html
|
背景:
阅读全文
昆明新华书店连锁有限公司2020年招聘高校毕业生笔试成绩公示
昆明新华书店连锁有限公司2020年招聘高校毕业生笔试成绩公示
来源:http://www.kmxhsd.com/publicity/show-507.html
相关信息链接
大型企业招聘
热门培训课程
|
热门培训课程
本周热门阅读
网友点赞排行
热门评论
|