第一部分:经济基础知识
(本部分共65分)
一、单项选择题
1.B 2.C 3.B 4.D 5.C 6.D 7.A 8.C 9.D 10.C
11.B 12.A 13.D 14.C 15.A 16.A 17.B 18.A 19.D 20.D
二、多项选择题
1.ABCD 2.ABCD 3.ABD 4.CD 5.ABD 6.BC 7.BD 8.ACD 9.BD 10.BC
三、计算题(共5小题。每小题5分,共25分)
1.借:营业税金及附加 104 600
贷:应交税费──应交营业税 100 000
──应交城市维护建设税 3 220
──应交教育费附加 1 380

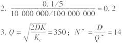
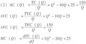
4.(1)可变成本部分:TVC(Q)=Q3-10Q2+25Q;不变成本部分:TFC(Q)=150

5.(1)均衡收入:解方程组:

得:y=680
政府预算盈余BS=ty-g-tr,得BS=60
(2)解方程组:

得:y=730
政府预算盈余BS=ty-g-tr,得曰BS=72.5,政府预算盈余增加12.5.
第二部分:时事、常识与逻辑部分
(本部分共25分)
一、时事政治题
1.A 2.CD 3.B 4.B 5.A
二、常识题
1.B 2.B 3.C 4.C 5.B 6.D 7.C 8.D 9.B 10.A
三、逻辑推理题
1.D 2.D 3.C 4.D 5.E
第三部分:法律部分
(本部分共10分)
1.在法律上宣告一个人死亡的程序是什么?(2分)
答:失踪+法定期间+申请人提出申请+法院公告期间(下落不明的为1年,意外事故的为3个月)=法院作出判决。
2.在法律上宣告一个人死亡的后果是什么?(2分)
答:后果是继承开始,婚姻关系消灭,债权债务清偿,子女被收养等。
注:答对两项即可,或者回答宣告死亡的后果与正常死亡的后果相同。
3.贺梅与刘铁柱的婚姻效力如何?(2分)
答:他们之间的婚姻无效。
4.如何评判贺梅和刘铁柱结婚的行为?为什么?(4分)
答:贺梅犯了重婚罪。(1分)因为贺梅编造虚假事实和理由,恶意申请致使张强被宣告死亡。在得知张强回国后并寻找自己的情况下,不顾其与张强的婚姻关系仍然存在的客观事实,在离婚应诉期间又与他人结婚,其行为已构成重婚罪。(3分)
第四部分:材料分析题
(共20分)
答案:略。
答题要求:要求观点正确,论述充分,有效利用上述材料,并从自己所学专业的角度讲行分析论述。


